新闻
论文
直播
应用
登录
English
   
首页
  >  
新闻   >   文章
搞定高数 | 如何打好进入大学的第一仗?
- 2025 -
11/17
13:55
零号员工
发表时间:2025.11.17     作者:Jingyi     来源:ShoelessCai     阅读:94
原标题:搞定高数 | 如何打好进入大学的第一仗?
从今天开始,连续 365 天,每天解决一道高等数学的题目 —— 很可能大多数是我做错的!
一整年,在无感的情况下,也能订正 365 道错题 —— 好黑!!
每个页面放 7 道题,一年 52 篇文章。
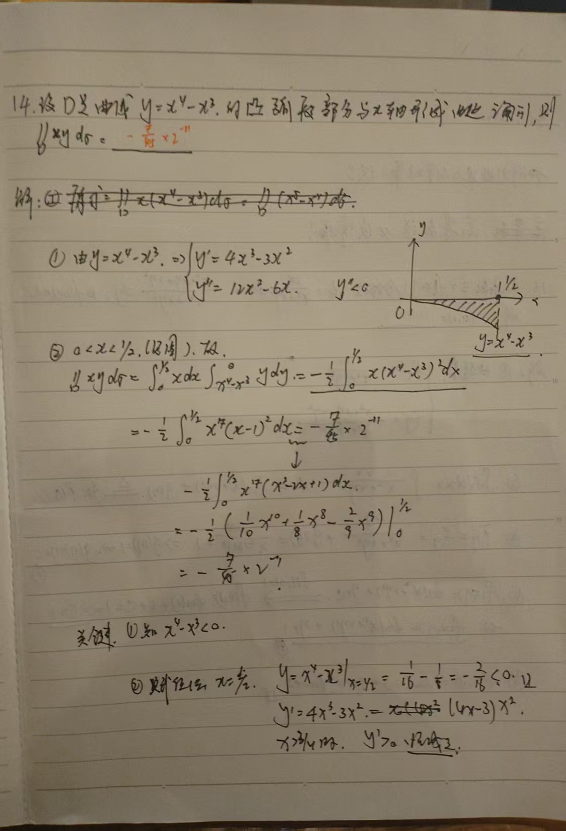
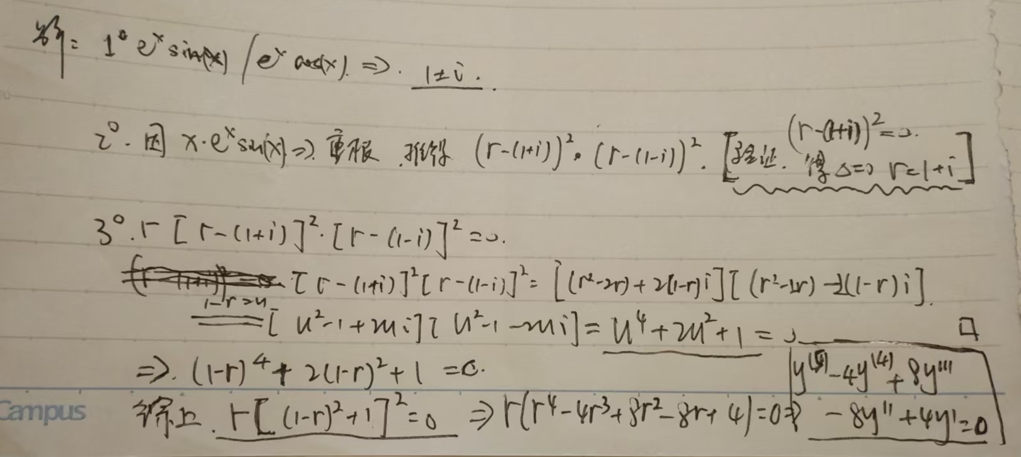
题目:
--------
--------
--------
查看答案
1
2
3
4
5
6
7
8
9
10
11
12
13
14
15
16
原文链接
长按/扫码,有您的支持,我们会更加努力!
阅读用户协议
0
最新评论
TOP 5 精选
回到顶部  
回上一级
写文章
最新资讯
华信信托重整,爆出逾百亿债权人杀人案原委
2025年全球车企销量前十榜单
直播笔记
《思考快与慢》读书笔记之四:为什么损失时更冒险
《思考快与慢》读书笔记之四:为什么损失时更冒险
Test 1.3 / Page 300: Company Speaker
听力训练:关于储蓄,男女有差异吗?
ShoelessCai 科学背单词计划
高级口译:五分钟背单词(视频,Episode 25-37)
听力训练:六步创业法
《思考快与慢》读书笔记之一:通才与专才的差异
热点话题
银行工作态度大调查
彭博推送 | 孟加拉国的不确定未来
碳酸锂,10年暴涨,可能持续至2024年
自行车王国2.0:“夜骑长安街” 成北京夜间运动新风尚
编年体简要外太空法案史(1915-2022)
精品论文
天池大赛:淘宝母婴购买情况数据分析
双重差分(DID)方法看“上海自贸区”十年业绩
基于时间序列及机器学习的上证指数实证研究
机器学习的单样本预测可信度问题
Volkswagen Revival Story through Innovation and Management
基于反向传播神经网络的 Airbnb 数据分析
有你的鼓励
ShoelessCai 将更努力
文档免费。保护知识产权,保护创新。
ShoelessCai.com —— 我们致力于,
商业
赋能行业。