第一弹高数点击阅读《
搞定高数 | 华罗庚名言 7 句
》;
第二弹高数点击阅读《
搞定高数 | 吾日三省吾身,一位数学家》。
题目
2025 年 12 月 27-31 日

2026年,1月1-2日

新年 3 号,两道题!

1月4日,两道题

1月5日

1月6日

1月7日 题目

1月8日

1月9日 周五放假了!
1月10日 周六啦!!

1月11日周六

1月12日

1月13日

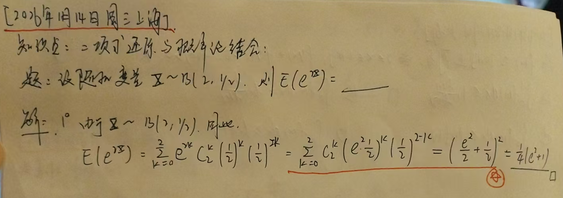
1月14日


1月15日

1月16日

1月17日 题目

1月18日 题目

1月19日 题目

1月20日 题目

1月21日

1月22日

1月23日

1月24日
查看答案
27 号 && 28 号

29 号

30 号

31 号,年末大放送!!!

2026年1-2号

新年 3 号,两道题!

1月4日

1月5日

1月6日

1月7日
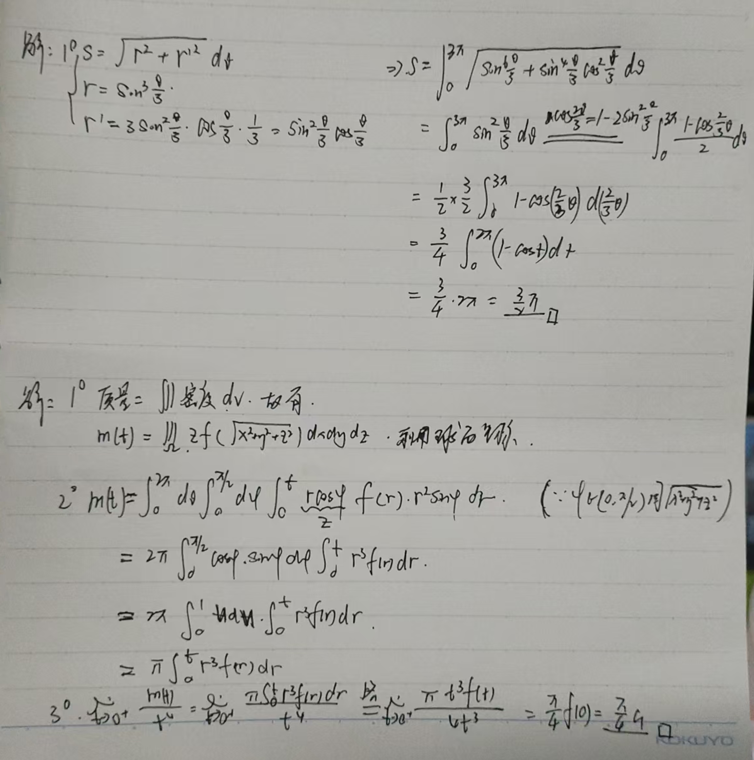
两道题,复合函数,关注用中间变量代替,这样可以保证不出错!如果积分区域是一个球面,关于球心对称的被积函数,积分都为 0。举个例子,比如积分区域是 x^2+y^2+z^2=1 球面上积分,被积函数 x 积分为0,被积函数 xy 积分也为 0,被积函数 z 积分也是 0。这个结论要记得!

1月8日

1月9日
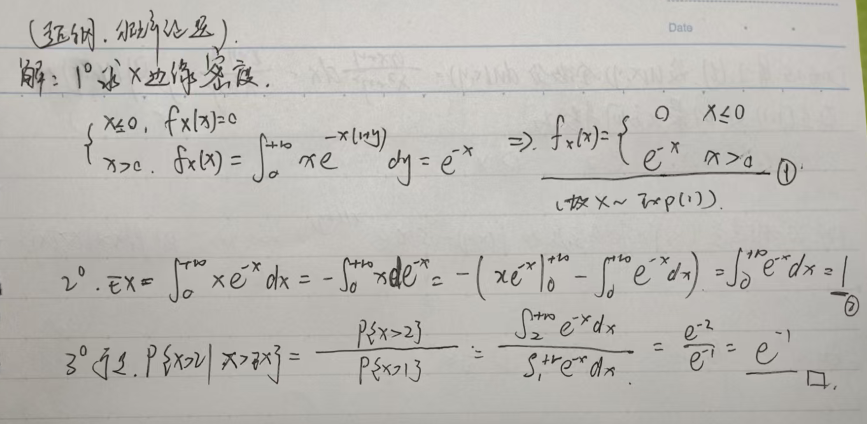
半超纲的概率论题目,但是我们发现,对于连续变量而言,分布函数,哪里等于0,哪里等于1,哪里随着自变量变化而变化就显得非常自然了。我自己在刷张宇老师的《概率论 9 讲》的时候,发现概率论还有一种学法。完全把概率论的分布函数、密度函数,就是一种特殊的定义。就是所以概率,就是特殊定义的函数。

1月10日

1月11日

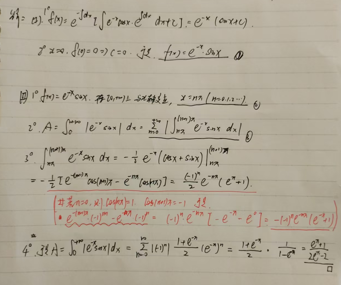
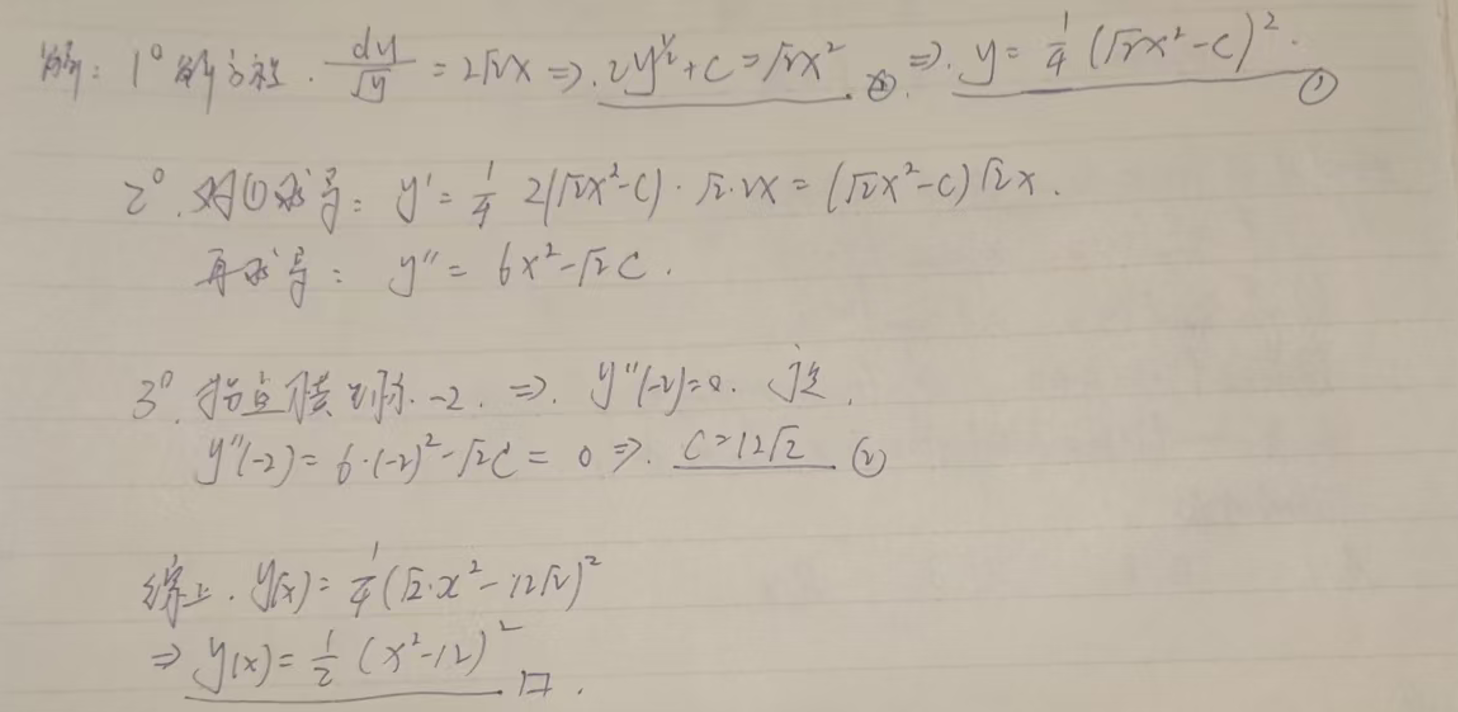
1月12日 2 道题

1月13日

1月14日

1月15日

1月16日

1月17日 答案

1月18日 答案

1月19日 答案

1月20日 答案

1月21日 周三

1月22日 周四

1月23日 周五

1月24日 周六