新闻
论文
直播
应用
登录
English
   
首页
  >  
新闻   >   文章
搞定高数 | 第五弹,马年除夕
- 2026 -
02/16
09:37
零号员工
发表时间:2026.02.16     作者:Jingyi     来源:ShoelessCai     阅读:91
第一弹高数点击阅读《
搞定高数 | 华罗庚名言 7 句
》;
第二弹高数点击阅读《
搞定高数 | 吾日三省吾身,一位数学家
》。
第三弹《
搞定高数 | 第三弹搞定高数
》。
第四弹《
搞定数学 | 第四弹加入概率论
》。
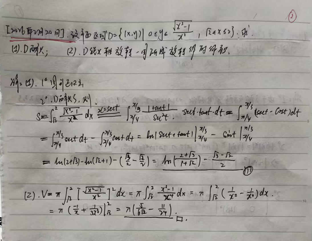
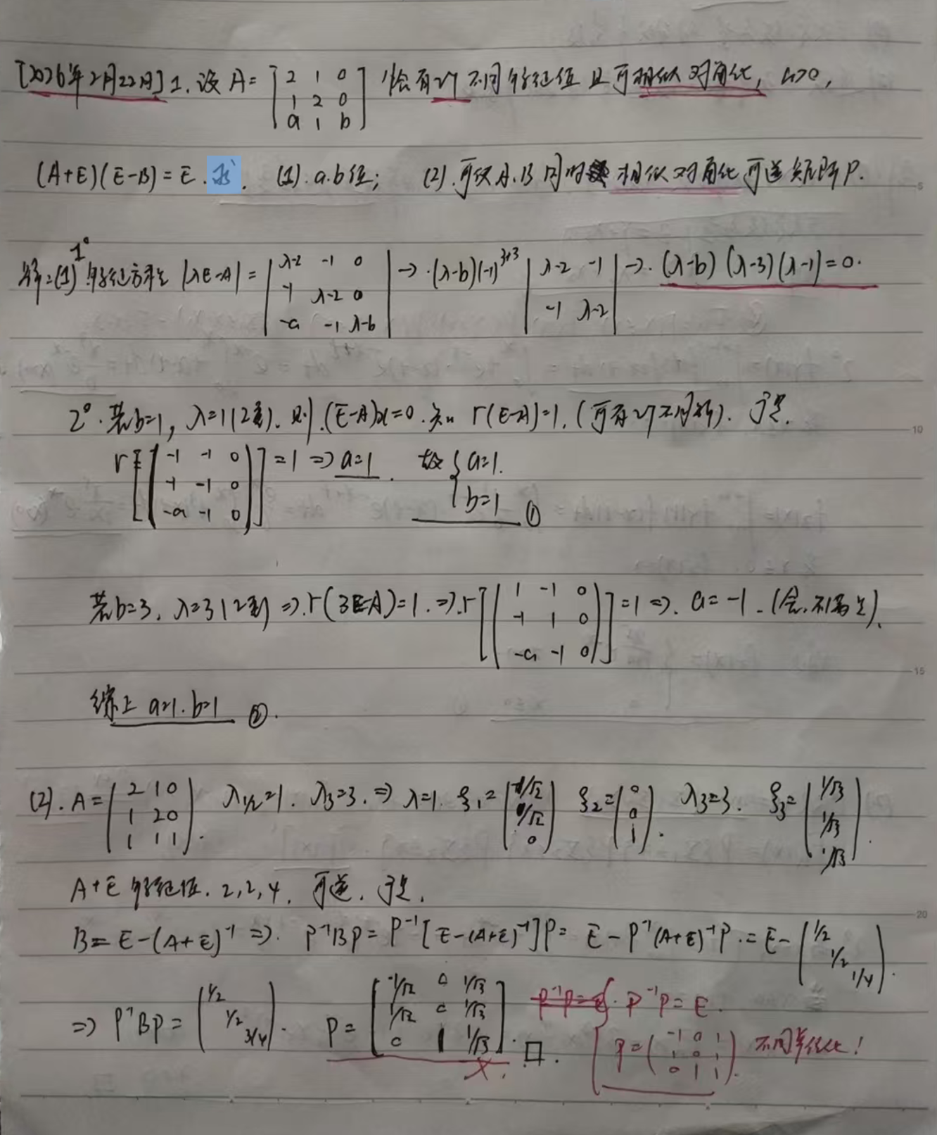
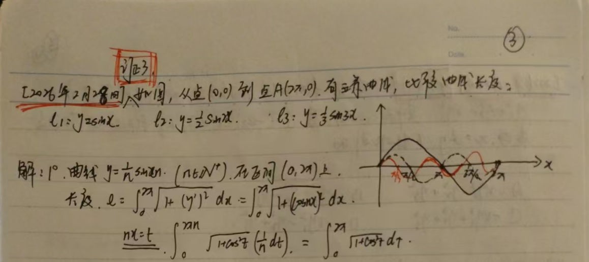
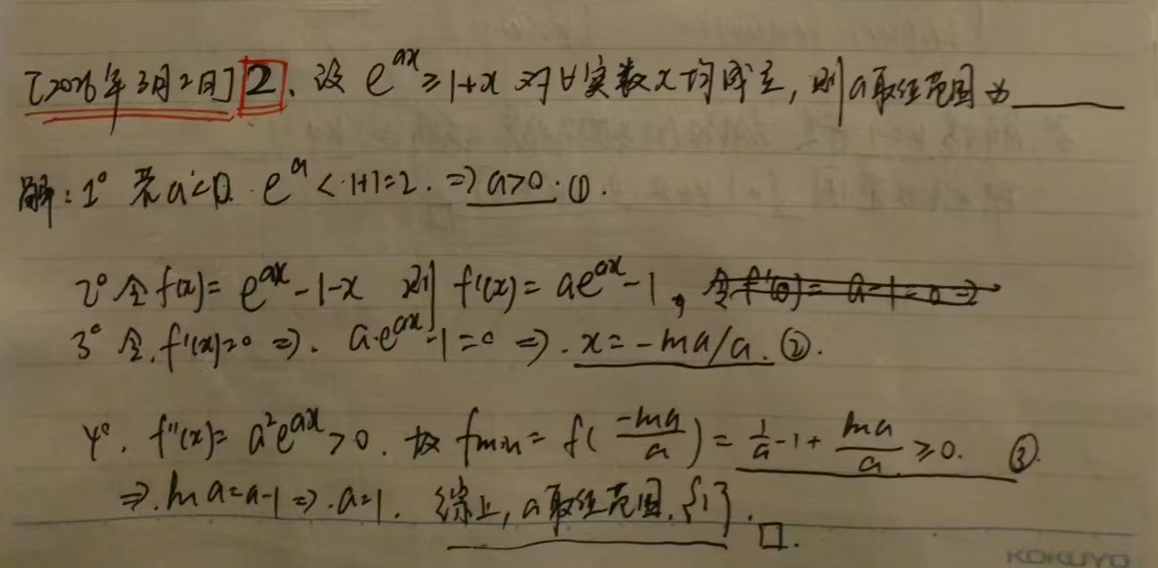
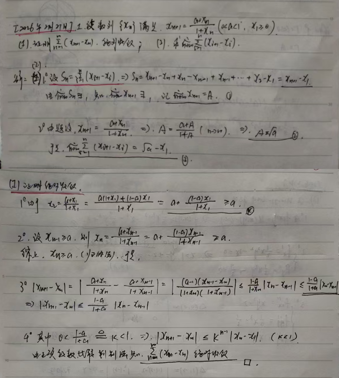
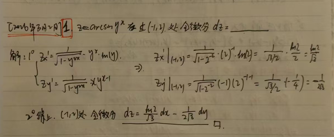
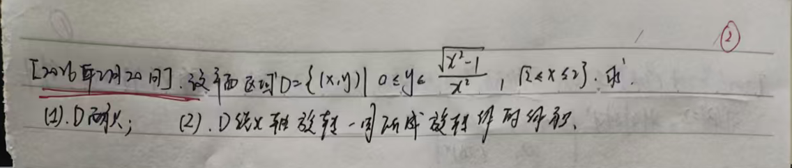
题目
2026.2.16
2026.2.17 初一
2026.2.18
2026.2.19
2026.2.20
2026.2.21
2026.2.22
2026.2.23
2026.2.24
2026.2.25
2026.2.26
2026.2.27
2026.2.28
2026.3.1
2026.3.2 周一
查看答案
答案 2026.2.16
2026.2.17 初一
2026.2.18
2026.2.19
2026.2.20
2026.2.21
2026.2.22
2026.2.23
2026.2.24
2026.2.25
2026.2.26
2026.2.27
2026.2.28 答案
2026.3.1
2026.3.2
原文链接
长按/扫码,有您的支持,我们会更加努力!
阅读用户协议
0
最新评论
TOP 5 精选
回到顶部  
回上一级
写文章
最新资讯
孙宇晨指控特朗普家族旗下加密货币公司
习近平总书记关于总体国家安全观重要论述的生动实践
直播笔记
《思考快与慢》读书笔记之四:为什么损失时更冒险
《思考快与慢》读书笔记之四:为什么损失时更冒险
ShoelessCai 科学背单词计划
Test 1.3 / Page 300: Company Speaker
听力训练:关于储蓄,男女有差异吗?
高级口译:五分钟背单词(视频,Episode 25-37)
听力训练:六步创业法
《思考快与慢》读书笔记之一:通才与专才的差异
热点话题
银行工作态度大调查
彭博推送 | 孟加拉国的不确定未来
碳酸锂,10年暴涨,可能持续至2024年
自行车王国2.0:“夜骑长安街” 成北京夜间运动新风尚
编年体简要外太空法案史(1915-2022)
精品论文
天池大赛:淘宝母婴购买情况数据分析
双重差分(DID)方法看“上海自贸区”十年业绩
基于时间序列及机器学习的上证指数实证研究
机器学习的单样本预测可信度问题
Volkswagen Revival Story through Innovation and Management
基于反向传播神经网络的 Airbnb 数据分析
有你的鼓励
ShoelessCai 将更努力
文档免费。保护知识产权,保护创新。
ShoelessCai.com —— 我们致力于,
商业
赋能行业。